Description
system_update_altDatasheet
| Product Name: | Choline Acetyltransferase Activity Assay Kit (Tissue Samples) |
| Product Code: | MAES0101 |
| Product Size: | 96 Assays |
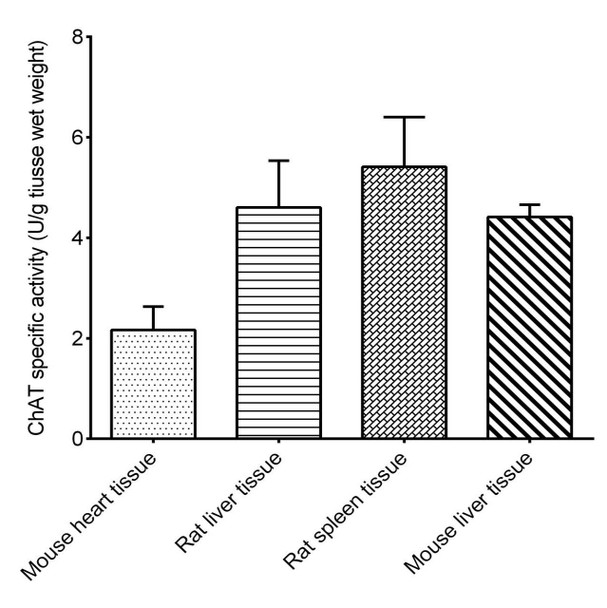
| Sample Type: | Animal tissue |
| Assay Time: | 65 min |
| Instrument: | Microplate reader |
| Sensitivity: | 1.21 U/g fresh weigh |
| Detection Range: | 1.21-40 U/g fresh we |
| Inter CV: | 9.4 |
| Inter CV: | 5.1 |
Choline acetyltransferase (ChAT, EC 2.3.1.6) is an enzyme for biosynthesis of acetylcholine, which generates acetylcholine by catalyzing acetyl group transfer from acetyl coenzyme A to choline. ChAT is synthesized in the perinuclear body of neurons and transported to neurons through the mechanism of slow axon transport. ChAT is the most specific indicator for monitoring the functional status of cholinergic neurons in central and peripheral nervous systems.
Acetyl-CoA can react with choline under the catalysis of choline acetyltransferase (ChAT) to produce coenzyme A (CoA), CoA can combine with the 4, 4-dithiopyridine. The activity of ChAT can be calculated indirectly by measuring the OD value at 324 nm.
| Shelf Life: | 3 Months |
| Storage: | Reagent 2, 3, 6 -20°C;, Others: 2-8°C |
| Shipping: | Gel Pack |
| Research Area: | Enzymes, Others |
test